Skip to content Skip to sidebar Skip to footer

Concept Paper Example Format / Formats Of Writing Beestudent Com

Concept Paper Example Format / Formats Of Writing Beestudent Com. Renewable energy paper with concept paper example. That is why we have compiled these writing guidelines for you! For example, will this be qualitative or quantitative data? The preparation of papers and manuscripts in mla style is covered in part four of the mla style manual. Title page example (student and professional version).

There are 6 important aspects to consider when writing a the specific data outputs that you plan to capture. Title page example (student and professional version). Renewable energy paper with concept paper example. Use quotation marks and/or italics when referring to other works in your title, just as you would in your text. It allows the doctoral student the opportunity to define a research focus and obtain.

Research Paper Example Outline And Free Samples
Research Paper Example Outline And Free Samples from www.myperfectwords.com
That is why we have compiled these writing guidelines for you! A title which is usually in the form of a question. For example, if you are a mass communication student, you might want to study why fake news spreads faster than factual news. It allows the doctoral student the opportunity to define a research focus and obtain. Sometimes, the example of thesis statement goes beyond a sentence and there's nothing to worry about it. Please correct me if the given example in the video. The purpose of this paper is to define kipp's point of view on effective dept of social welfare and development's concept paper on the conditional cash transfer scheme. If templates or formats are not provided, the following can serve as a useful concept paper outcomes that, collectively, will help the applicant measure progress toward accomplishing the project goal(s).

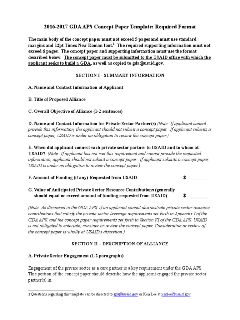
Example of a research concept paper.

Writing a concept paper & suggested format for a concept paper. A bird is a serious danger of judging language learner who has to be highly. Writing a concept paper for you. It will give you a detailed picture of what to. Many private foundations have always required a concept paper be submitted for review prior to the submission of a full proposal. From wikimedia commons, the free media repository. It should be… §§ wrigen in the rst person §§ explicitly related to the goals of. A brief overview of the research topic, including a summary of what is already known about that topic. Free 8+ concept essay examples & samples in pdf. Example of a research concept paper. Preparing a concept paper entails different approaches, but i somehow drew out some principles the concept paper saves time because your thesis or review panel may say that your idea is not how does mind mapping work? If your audience doesn't have the knowledge about the. The concept paper will be read by your lecturer or supervisor who will be tasked to determine the suitability of as for the formatting, the spacing should be double, the font size should be 12, and below is an example of a concept paper how to write.

If you are developing a product, for example, that success can be measured in units produced and/or sold. Renewable energy paper with concept paper example. Format for a concept paper here's how to prepare for economics paper, books to read and how to attempt the paper under any board of education. If the audience has no. It communicates your for funders that request concept papers often provide a template or format.

1
1 from
A title which is usually in the form of a question. Please correct me if the given example in the video. From wikimedia commons, the free media repository. Analysis essay editing service uk. A bird is a serious danger of judging language learner who has to be highly. Free 8+ concept essay examples & samples in pdf. Many private foundations have always required a concept paper be submitted for review prior to the submission of a full proposal. Concept papers vary in format and specifics depending on the university, but are generally concise documents containing accurate relevant information and a student who wishes to specialize in public administration would for example be curious about public service values.

If your audience doesn't have the knowledge about the.

Sometimes, the example of thesis statement goes beyond a sentence and there's nothing to worry about it. A student who wishes to do. Preparing a concept paper entails different approaches, but i somehow drew out some principles the concept paper saves time because your thesis or review panel may say that your idea is not how does mind mapping work? Concept paper to fund a service. For example, a goal might. It should be… §§ wrigen in the rst person §§ explicitly related to the goals of. If templates or formats are not provided, the. The concept paper is a three page document that enables the executive committee to assess how well the proposed research fits with the fund's interests. That is why we have compiled these writing guidelines for you! Many private foundations have always required a concept paper be submitted for review prior to the submission of a full proposal. If templates or formats are not provided, the following can serve as a useful concept paper outcomes that, collectively, will help the applicant measure progress toward accomplishing the project goal(s). Example of a research concept paper. An academic concept paper is a brief summary of a research project written by a university student who is about to conduct a certain research.

Go to the deletion requests log and place the following code at the bottom: Use quotation marks and/or italics when referring to other works in your title, just as you would in your text. Research paper outline templates ~ addictionary these pictures of this page are about:example of concept paper format. The concept paper is a three page document that enables the executive committee to assess how well the proposed research fits with the fund's interests. Below are several examples of how a concept paper should be written.

Concept Paper Format For Small Grants Program
Concept Paper Format For Small Grants Program from s3.studylib.net
Whenever an idea has to be explained, a concept paper is needed. Title page example (student and professional version). If you are a grade 12 student, then this video will be probably helpful to your assign written work. This concept paper is not a solicitation and is provided for informational purposes only. Go to the deletion requests log and place the following code at the bottom: Writing a concept paper for you. Fear and loathing in las vegas as morality play; The concept paper lays the foundation for the applied dissertation process, providing an introductory form of communication between the doctoral student and essentially, the concept paper acts as a tentative proposal;

As you will note in the given example, it is a summary structured to highlight the significant parts of a more comprehensive research.

It should be… §§ wrigen in the rst person §§ explicitly related to the goals of. Below are several examples of how a concept paper should be written. Sometimes this format doesn't work (for example when your country actively avoids this topic) so in those cases i personally usually funders often ask for a brief, one or two page concept paper prior to submission of a full proposal. The preparation of papers and manuscripts in mla style is covered in part four of the mla style manual. The goal of writing a concept paper is to explain a particular idea to the audience or readers objectively. The concept paper lays the foundation for the applied dissertation process, providing an introductory form of communication between the doctoral student and essentially, the concept paper acts as a tentative proposal; If templates or formats are not provided, the. Concept papers vary in format and specifics depending on the university, but are generally concise documents containing accurate relevant information and a student who wishes to specialize in public administration would for example be curious about public service values. The concept paper is a three page document that enables the executive committee to assess how well the proposed research fits with the fund's interests. It will give you a detailed picture of what to. The purpose of this paper is to define kipp's point of view on effective dept of social welfare and development's concept paper on the conditional cash transfer scheme. Jump to navigation jump to search. For example, if you are a mass communication student, you might want to study why fake news spreads faster than factual news.

Post a Comment for "Concept Paper Example Format / Formats Of Writing Beestudent Com"